金屬管浮子流量計流量換算
發布日期:2019-04-04 瀏覽次數:966
金屬管浮子流量計流量換算:
換算的依據主要有兩個:浮子流量計的理論計算公式和理想氣體的狀態方程。


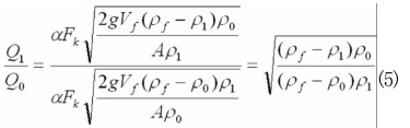
流量換算公式:流量計測量不同介質時流量之間的關系如下式:

從式中可以看到浮子流量計流量換算的實質是密度換算。
液體的測量和換算
流量計用于液體流量測量時,制造廠是用常溫下清潔的水作為校驗液來標定的,若被測介質的密度與水的密度不同,應對被測介質的流量進行換算。公式如下:

氣體的測量和換算
流量計用于氣體流量測量時,制造廠是用標準狀況下(20℃、101.325kPa)的空氣進行標定的,由于氣體的密度遠小于浮子密度,公式(5)簡化為:


版權所有:http://m.sxhxfs.cn長征儀表(金湖)有限公司 轉載請注明出處
標簽:技術支持
上一篇:熱式氣體質量流量計
下一篇:頂裝式磁翻板液位計原理及特點
【更多案例】:
- 推薦資訊
-
- 熱點資訊
- 查看全部資訊>


長征儀表 咨詢電話:
TEL:18994599789





